对有些人来说,激光束的光斑尺寸是指通过透镜聚焦时焦平面处的最小直径,而对另外一些人来说,它们是指激光束出射时的直径,或在他们需要的任何其他地方的直径测量它。区分这两种情况很重要,因为测量方法不同。
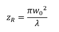
当激光束沿其光路传播时,其直径不断变化。如果我们考虑高斯光束的理想情况,则沿传播轴 z 的光束宽度(或半径 w)由以下等式定义:

其中 w 0是束腰(高斯光束的最小半径),z R是瑞利长度:

光束直径只是光束半径的两倍,并且可以沿传播轴的任何位置进行测量。当使用焦距为 f 的透镜聚焦高斯光束时,束腰(或激光光斑大小方程)变为:

因此焦斑尺寸可以非常小,当它很小时,光束尺寸沿传播轴变化非常快。测量激光束的焦斑尺寸本身几乎就是一门艺术,因为它需要传感器成像平面位置的高精度以及调整该位置以找到焦平面的方法。

