一、波长
在物理学中,正弦波的波长是波的空间周期——波的形状重复的距离, 和空间频率的倒数。它通常是通过考虑相同相位的连续对应点之间的距离来确定的,例如波峰、波谷或过零,并且是行波和驻波以及其他空间波模式的特征。波长通常用希腊字母 lambda (λ) 表示。

λ:表示波长
二、高斯
高斯图是一种典型的对称“钟形曲线”形状。 参数 a 是曲线峰值的高度,b 是峰值中心的位置,c(标准偏差,有时称为高斯 RMS 宽度)控制“钟形”的宽度。
高斯函数广泛用于描述正态分布的统计学、用于定义高斯滤波器的信号处理、二维高斯用于高斯模糊的图像处理以及用于求解热方程和扩散的数学 方程并定义 Weierstrass 变换。

高斯光束是一种在所有方向上都具有正态分布的光束,类似于下图。 强度在光束中心最高,并在到达光束周边时消散。

三、光束宽度或光束直径
激光光斑的测量直径。 有许多不同的方法可以测量光束。 测量方法由应用决定。
四、D4σ (D4Sigma)
定义为在光束强度剖面的 X 和 Y 横向方向上分别评估的能量分布标准偏差的 4 倍。

五、刀刃
刀刃光束宽度是使用模拟刀刃技术的特殊算法计算的。 所有刀刃直径都是正交光束宽度的计算平均值。
六、功率百分比
BeamGage 将所有像素的像素能量值按降序求和,直到找到导致总和超过设定的总能量值的 Clip% 的像素。 该像素的能量值成为裁剪级别。
七、激光焦散
由曲面或物体(例如透镜)反射或折射的光线包络线。 聚焦光线形成一种图案,其中光束直径开始较大,然后聚焦到最小光束尺寸,然后变大。

八、束腰
激光在特定波长和透镜下可达到的最小光斑(焦点)。 下图显示了激光聚焦并再次发散的侧视图。 束腰在中央。

九、发散
这是激光在达到焦点后所做的事情。 随着光束发散,光束尺寸显得更大且强度更低。 许多激光在离开激光头之前会发散,然后使用光学器件聚焦。
十、衰减
通过介质的任何一种通量的强度逐渐损失。 在阳光到达并伤害我们的眼睛之前,我们使用太阳镜来减弱阳光。 衰减降低了光的强度
十一、模式内容
1、在光束的横截面中测量的辐射电磁场中波的特定模式
2、通常指定为 TEMxx
3、纯高斯光束(称为 TEM00)的 M² = 1

十二、像素间距
从一个像素的中心到下一个像素的中心的物理距离。

十三、像素大小
像素的物理大小。

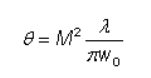
十四、M2 测量
M2 因子,也称为光束质量因子或光束传播因子,是激光束光束质量的常用量度。 根据 ISO 标准 11146 [4],它被定义为光束参数乘积除以 λ / π,后者是具有相同波长的衍射极限高斯光束的光束参数乘积。 换句话说,半角光束发散角是

其中 w0 是束腰处的光束半径,λ 是波长。 激光束通常被称为“M2 倍衍射极限”。
衍射极限光束的 M2 因子为 1,是高斯光束。 M2 的较小值在物理上是不可能的。 与 TEMnm 谐振器模式相关的厄米-高斯光束在 x 方向上具有 (2n + 1) 的 M2 因子,在 y 方向上具有 (2m + 1) [1]。
激光束的 M2 因子限制了对于给定的光束发散角,光束可以聚焦的程度,这通常受到聚焦透镜的数值孔径的限制。 光束品质因数与光功率一起决定了激光束的亮度(更准确地说是辐射亮度)。
十五、瑞利长度
激光束的瑞利长度(或瑞利范围)是距束腰(在传播方向)的距离,光束半径在此处增加了平方根 2 的因数。对于圆形光束,这 表示此时模态面积翻倍。
对于高斯光束,瑞利长度由束腰半径 w0 和波长 λ 确定:

其中波长 λ 是真空波长除以材料的折射率 n。
对于光束质量不佳且束腰半径给定的光束,瑞利长度会通过所谓的 M2 因子有效减小。 这意味着对于给定的束腰半径,此类光束具有更大的光束发散角。
十六、能量密度
能量密度是存储在给定系统或空间区域中每单位体积或质量的能量,尽管后者更准确地称为比能量。

