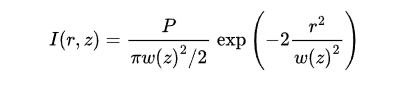
具有平顶轮廓的激光束的半径定义很简单,但大多数光束具有其他横向形状。经常获得的形状是高斯形状,其中横向强度变化用以下等式描述:

其中光束半径ω是光强度下降到光束轴上值的1/e 2 (≈ 13.5%)时距光束轴的距离。在这个半径处,电场强度下降到最大值的 1/e (≈ 37%)。
光束半径的常用公式符号为ω一些作者使用ω相反,但这可能会与角频率混淆。
任意轮廓形状的光束半径定义
对于任意(可能不是高斯)光束形状,几种不同的定义是常见的。仍然可以使用 1/e 2强度标准,或半峰全宽 (FWHM),或包括 86% 光束能量的半径等。此类定义的问题本质上是结果不依赖于,例如,强度在剖面翼部衰减的速度有多快。为了说明这一点,下图显示了两个具有相同 FWHM 宽度的强度分布,尽管虚线曲线在有意义的意义上明显更宽。在复杂强度模式的情况下,更明显的是 FWHM 定义不合适。

ISO 标准 11146
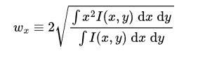
出于这些原因(以及下面讨论的另一个原因),推荐的定义是 ISO 标准 11146,基于强度分布的二阶矩I(x,y)。例如,光束半径在χ方向是

坐标在x和y是必须被认为是相对于光束中心的,即,这样一阶力矩就消失了。该方法也称为D4σ 方法,因为对于光束直径,可以获得 4 倍的强度分布标准偏差。
可以定义光束半径ωy是以类似的方式,只是更换x²和y²在上积分。
对于高斯光束,D4σ 方法给出与 1/e 2方法相同的结果,而对于其他光束形状,可能会有明显的偏差。在尝试预测非衍射极限光束的光束半径演变时,尤其应使用 D4σ 方法。已经表明,具有特定M 2因子的高斯光束传播的通常规则然后正确地描述了这种演变,而当使用以其他方式定义的光束半径时会出现错误。例如,在设计二极管泵浦激光器的泵浦光学器件时,观察这一点很重要,因为可能会出现明显的非高斯光束形状。
二阶矩法的缺点是光束半径计算有些复杂(通常需要数值代码),而且结果对轮廓外部的强度非常敏感。例如,它很容易受到测量强度分布中的某些垂直偏移(例如由环境光引起)和相机噪声的影响。因此需要具有高动态范围的检测器。人们通常还使用特殊的平滑技术来减少测量误差。
有效光束面积
在激光诱导损伤的背景下,人们经常使用有效光束面积,它被定义为光功率除以最大强度,并且被认为是 π 乘以有效光束半径的平方。对于高斯光束,有效光束半径比高斯光束半径小平方根 2。
光束直径通常定义为光束半径的两倍——无论光束半径的具体定义是什么。对于高斯光束,FWHM 光束直径是高斯光束半径的 1.18 倍(1/e 2值)。
光束半径的测量
对于光束半径的测量,应用了多种方法。显然,第一步始终是确定要使用的光束半径定义。
一些定义和相关测量方法仅适用于高斯光束。例如,对于使用刀刃或狭缝方法的光束轮廓来说,这主要是正确的,即,当刀刃或狭缝移动通过光束时,测量随时间变化的透射光功率。该方法也可以用非常简单的设备来应用,例如安装在平移台上的刀口和光功率计,但过程相对繁琐。
对于任意形状的光束,通常使用基于相机的光束分析仪,通常可以根据 ISO 11146 快速确定光束半径。但是请注意,这种方法通常需要使用光学衰减器才能进入相机的有限动态范围,显然必须注意光束轮廓不会因衰减器而失真。此外,并非所有设备都可以应用于激光脉冲,或者仅适用于某些参数区域。

